Correction table of Mater. Phys. Mech. 6 (2003) 43.
The
first line of Eq (4) on page 51 should be read as
(4)
Eq.
(15) should be read as
,
(15)
On
line 17 on the left column of page 54,
should be read
as
.
On
line 18 on the left column of page 54,
should be read
as
.
On
line 19 on the right column of page 54, the numerals –20 and –30 should be read
as 20 and 30, respectively.
On
line 22 on the right column of page 54,
should be read
as
.
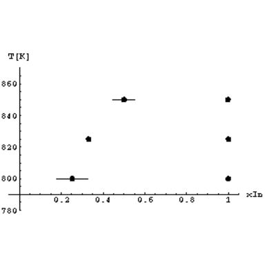
Fig.
1 on page 54 should be replaced by

and
on the last line
of the figure caption should be read as
.
On
the last two lines on the right column of page 54, ginterpolationh should be
read as gextrapolationh.
On
lines 1-2 on the left column of page 55, gunfortunately not succeeded for Ga-rich
branch at T=850, 857, and 900. (There were no significant Dm-dependence of the composition for
In-rich branch.) Instead of linear interpolation average was taken over all
simulation results at a temperature for Ga-rich branch. This is indicated by error
bars on x-T diagram (Fig. 3), Thus the predictor-corrector did
not affect the composition except for T=825K but T-Dm rerelation (Fig.2).h should be read as gfailed
for T=857, and 900. The predictor-corrector benefited the composition
for T=825K and . T-Dm relation
(Fig.2).h
Fig.
2 on page 55 should be replaced by

and
numeral –25.19 in the figure caption should be read as 25.19.
Fig.
3 on page 55 should be replaced by
